Image Settings Panel

[BioPharma] [Research+]

The Image Settings panel can be used to alter how images in the Viewer are rendered, including adjusting the individual channels of multi-channel images. These settings are saved as preferences for the current user, with the option to name the collection of settings, apply them to other images, and share them with your team.

To toggle the visibility of the Image Settings panel
  1. If the left sidebar is not displayed, toggle it by clicking on the Menu > button at the bottom left of the Viewer

  2. Click on the Image Settings button in the left sidebar to open the Image Settings panel

To resize the Image Settings panel
  1. If the left sidebar is not displayed, toggle it by clicking on the Menu > button at the bottom left of the Viewer

  2. Hover or click on the Image Settings button in the left sidebar

  3. Click and drag the right border of the panel to resize it

Controls

Context Menu

Many operations in the various dialogs are performed via a context menu. This menu is accessed by right-clicking on an item in the list (or one of the currently selected items when using Multi-Select).

On a mobile device, tap and hold on an item to display the context menu.

Multi-Select

One or more items can be selected in a dialog in order to perform operations on items at once.

To select more than one item
  1. In the dialog, click on an item in the list

  2. While holding the Ctrl key (on Windows) or / Command key (on macOS) select another item

  3. Repeat step 3 as necessary

To select more than one item in a continuous range
  1. In the dialog, click on the first item in the range from the list

  2. While holding the Shift key, select the last item in the range

Image Settings

The Image Settings panel provides options for adjusting how the currently selected image is rendered, saving those settings, and sharing them with your team.

Managing Image Settings

The dropdown menu at the top of the Image Settings panel can be used to select and apply to the current image a previously saved collection of settings, some of which may be shared from other members of your team.

By default, the list of saved settings is displayed with those you have set as preferred at the top, followed by the remaining options sorted by creation date in descending order. You may also set this order manually in the Saved Settings dialog.

If you have made any adjustments since you last saved, the dropdown menu will display Unsaved Settings.

To save the current image settings
  1. If the left sidebar is not displayed, toggle it by clicking on the Menu > button at the bottom left of the Viewer

  2. Click on the Image Settings button in the left sidebar to open the Image Settings panel

  3. Click on the Ellipsis button to the right of the dropdown menu at the top of the panel to display the context menu

  4. Click Save Settings As in the context menu

  5. Type a name for these settings in the Name field

  6. (Optional) Select Share with Team to make these settings available to other members of your team

  7. (Optional) Select Mark as Preferred to keep this collection of settings at the top of the list

  8. Click on the Save button

Only users with the "View shared image settings" permission flag can save sets of image settings.
To load a previously saved collection of image settings
  1. If the left sidebar is not displayed, toggle it by clicking on the Menu > button at the bottom left of the Viewer

  2. Click on the Image Settings button in the left sidebar to open the Image Settings panel

  3. Click on the dropdown menu at the top of the panel

  4. (Optional) Begin typing the name of the collection you want to apply to filter the list

  5. Select one of the collections of image settings from the list

To reset the current image settings to their default values
  1. If the left sidebar is not displayed, toggle it by clicking on the Menu > button at the bottom left of the Viewer

  2. Click on the Image Settings button in the left sidebar to open the Image Settings panel

  3. Click on the Ellipsis button to the right of the dropdown menu at the top of the panel to display the context menu

  4. Click Apply Default Image Settings in the context menu

To change the order that image settings appear in the dropdown menu
  1. If the left sidebar is not displayed, toggle it by clicking on the Menu > button at the bottom left of the Viewer

  2. Click on the Image Settings button in the left sidebar to open the Image Settings panel

  3. Click on the Ellipsis button to the right of the dropdown menu at the top of the panel to display the context menu

  4. Click Manage Settings in the context menu

  5. In the Saved Settings dialog that pops up, move an item up and down by clicking on the Drag handle to the left of the name and dragging it to the new position

To delete a saved collection of image settings
Deleting a collection of image settings you have shared removes it for everyone on your team.
  1. If the left sidebar is not displayed, toggle it by clicking on the Menu > button at the bottom left of the Viewer

  2. Click on the Image Settings button in the left sidebar to open the Image Settings panel

  3. Click on the Ellipsis button to the right of the dropdown menu at the top of the panel to display the context menu

  4. Click Manage Settings in the context menu

  5. Select one or more items to delete in the Saved Settings dialog that pops up

  6. Bring up the context menu for the item (or items)

  7. Click Delete in the context menu

  8. Click on the Yes button to confirm

Copying Image Settings

[BioPharma]

Image settings can be copied from one image to another, or to a folder. Copying to a folder makes the settings available to all of the images in that folder.

When settings are copied to another image, the collection of values for black point, white point, brightness, gamma, and visible channels is added to the dropdown menu of the target image under a name of your choosing. You can also set these settings as preferred or share them with your team at the same time.

Transferring settings may not deliver the expected results if target and source files have different numbers of sub-images or channels within each sub-image. Therefore, this feature works best for files that use a similar scanning protocol.
To copy the currently applied image settings to another image
  1. If the left sidebar is not displayed, toggle it by clicking on the Menu > button at the bottom left of the Viewer

  2. Click on the Image Settings button in the left sidebar to open the Image Settings panel

  3. Click on the Ellipsis button to the right of the dropdown menu at the top of the panel to display the context menu

  4. Hover over Copy Settings To in the context menu to expand that menu

  5. Click Files in the expanded menu to display the Copy Settings To dialog

  6. Locate the image to which you wish to copy these settings

  7. (Optional) Type a name for these settings in the Name field at the bottom left. Leaving this field blank will retain the current name

  8. (Optional) Enable Share with Team to also share these settings with your team

  9. (Optional) Enable Mark as Preferred to also mark these settings as preferred

  10. Click on the Apply button

To copy the currently applied image settings to a folder
  1. If the left sidebar is not displayed, toggle it by clicking on the Menu > button at the bottom left of the Viewer

  2. Click on the Image Settings button in the left sidebar to open the Image Settings panel

  3. Click on the Ellipsis button to the right of the dropdown menu at the top of the panel to display the context menu

  4. Hover over Copy Settings To in the context menu to expand that menu

  5. Click Folder in the expanded menu to display the Copy Settings To dialog

  6. Locate the folder to which you wish to copy these settings

  7. (Optional) Type a name for these settings in the Name field at the bottom left. Leaving this field blank will retain the current name

  8. (Optional) Enable Share with Team to also share these settings with your team

  9. (Optional) Enable Mark as Preferred to also mark these settings as preferred

  10. (Optional) Enable Apply Recursively to copy these settings to all images and folders contained in subfolders (and subfolders of those folders, etc.) of the target folder instead of just the direct children

  11. Click on the Apply button

To copy a saved collection of image settings to another image
  1. If the left sidebar is not displayed, toggle it by clicking on the Menu > button at the bottom left of the Viewer

  2. Click on the Image Settings button in the left sidebar to open the Image Settings panel

  3. Click on the Ellipsis button to the right of the dropdown menu at the top of the panel to display the context menu

  4. Click Manage Settings in the context menu

  5. Select one or more items to copy in the Saved Settings dialog that pops up

  6. Bring up the context menu for the item (or items)

  7. Hover over Copy Settings To in the context menu to expand that menu

  8. Click Files in the expanded menu to display the Copy Settings To dialog

  9. Locate the image to which you wish to copy these settings

  10. (Optional) Type a name for these settings in the Name field at the bottom left. Leaving this field blank will retain the current name

  11. (Optional) Enable Share with Team to also share these settings with your team

  12. (Optional) Enable Mark as Preferred to also mark these settings as preferred

  13. Click on the Apply button

To copy a saved collection of image settings to a folder
  1. If the left sidebar is not displayed, toggle it by clicking on the Menu > button at the bottom left of the Viewer

  2. Click on the Image Settings button in the left sidebar to open the Image Settings panel

  3. Click on the Ellipsis button to the right of the dropdown menu at the top of the panel to display the context menu

  4. Click Manage Settings in the context menu

  5. Select one or more items to copy in the Saved Settings dialog that pops up

  6. Bring up the context menu for the item (or items)

  7. Hover over Copy Settings To in the context menu to expand that menu

  8. Click Folder in the expanded menu to display the Copy Settings To dialog

  9. Locate the folder to which you wish to copy these settings

  10. (Optional) Type a name for these settings in the Name field at the bottom left. Leaving this field blank will retain the current name

  11. (Optional) Enable Share with Team to also share these settings with your team

  12. (Optional) Enable Mark as Preferred to also mark these settings as preferred

  13. (Optional) Enable Apply Recursively to copy these settings to all images and folders contained in subfolders (and subfolders of those folders, etc.) of the target folder instead of just the direct children

  14. Click on the Apply button

Applying Image Settings

[BioPharma]

You also have the option to apply a set of image channel adjustments to another image, or an entire folder. Like copying, applying the settings to a folder applies them to all of the images in that folder.

The apply action will transfer channel settings from each sub-image of the source file to the same channel and sub-image of the target file (i.e., matching is performed using the sub-image and channel indices). For example, when transferring settings from "Image A" to "Image B": the values for channel index i of sub-image j will be transferred from "Image A" to the same indices in "Image B", for the range of i and j that is valid (exist) in both files.

Image channel names are not used for matching, nor are they copied.

Transferring settings may not deliver the expected results if target and source files have different numbers of sub-images or channels within each sub-image. Therefore, this feature works best for files that use a similar scanning protocol.

Some image formats (e.g., SVS, MRXS) have a single sub-image while other formats (e.g., CZI, VSI) may have multiple sub-images, where sub-images are specific ROIs that have been imaged within the scan area. SVS and MRXS use a single sub-image spanning the complete scan area while CZI and VSI may use multiple sub-images to sparsely image the scan area.
To apply the currently applied image settings to another image
This will replace any currently applied image settings for the target image, but not copy the named collection to that image's saved settings.
  1. If the left sidebar is not displayed, toggle it by clicking on the Menu > button at the bottom left of the Viewer

  2. Click on the Image Settings button in the left sidebar to open the Image Settings panel

  3. Click on the Ellipsis button to the right of the dropdown menu at the top of the panel to display the context menu

  4. Hover over Apply Settings To in the context menu to expand that menu

  5. Click Files in the expanded menu to display the Apply Settings To dialog

  6. Locate the image to which you wish to apply these settings

  7. Click on the Apply button

To apply the currently applied image settings to a folder
This will replace any currently applied image settings for the target images, but not copy the named collection to those images' saved settings.
  1. If the left sidebar is not displayed, toggle it by clicking on the Menu > button at the bottom left of the Viewer

  2. Click on the Image Settings button in the left sidebar to open the Image Settings panel

  3. Click on the Ellipsis button to the right of the dropdown menu at the top of the panel to display the context menu

  4. Hover over Apply Settings To in the context menu to expand that menu

  5. Click Folder in the expanded menu to display the Apply Settings To dialog

  6. Locate the folder to which you wish to apply these settings

  7. (Optional) Enable Apply Recursively to apply these settings to all images and folders contained in subfolders (and subfolders of those folders, etc.) of the target folder instead of just the direct children

  8. Click on the Apply button

To apply a saved collection of image settings to another image
This option is not available when multiple items are selected.

This will replace any currently applied image settings for the target image, but not copy the named collection to that image's saved settings.
  1. If the left sidebar is not displayed, toggle it by clicking on the Menu > button at the bottom left of the Viewer

  2. Click on the Image Settings button in the left sidebar to open the Image Settings panel

  3. Click on the Ellipsis button to the right of the dropdown menu at the top of the panel to display the context menu

  4. Click Manage Settings in the context menu

  5. In the Saved Settings dialog that pops up, locate the settings to apply and bring up the context menu

  6. Hover over Apply Settings To in the context menu to expand that menu

  7. Click Files in the expanded menu to display the Apply Settings To dialog

  8. Locate the image to which you wish to apply these settings

  9. Click on the Apply button

To apply a saved collection of image settings to a folder
This option is not available when multiple items are selected.

This will replace any currently applied image settings for the target images, but not copy the named collection to those images' saved settings.
  1. If the left sidebar is not displayed, toggle it by clicking on the Menu > button at the bottom left of the Viewer

  2. Click on the Image Settings button in the left sidebar to open the Image Settings panel

  3. Click on the Ellipsis button to the right of the dropdown menu at the top of the panel to display the context menu

  4. Click Manage Settings in the context menu

  5. In the Saved Settings dialog that pops up, locate the settings to apply and bring up the context menu

  6. Hover over Apply Settings To in the context menu to expand that menu

  7. Click Folder in the expanded menu to display the Apply Settings To dialog

  8. Locate the folder to which you wish to apply these settings

  9. (Optional) Enable Apply Recursively to apply these settings to all images and folders contained in subfolders (and subfolders of those folders, etc.) of the target folder instead of just the direct children

  10. Click on the Apply button

Preferred Settings

In order to make a previously saved collection of image settings more readily available, you can mark it as preferred. By default, preferred image settings are listed first in the dropdown menu for quick access. These preferred saved settings are also easily identified by the Preferred icon next to their name in both the dropdown menu and Saved Settings dialog.

Only users with the "Share image settings" permission flag are able to change the preferred status of image settings.
To toggle the preferred status of the currently applied image settings
Image settings must be saved before they can be set as preferred.
  1. If the left sidebar is not displayed, toggle it by clicking on the Menu > button at the bottom left of the Viewer

  2. Click on the Image Settings button in the left sidebar to open the Image Settings panel

  3. Click on the Ellipsis button to the right of the dropdown menu at the top of the panel to display the context menu

  4. Click Set as Preferred/Unset as Preferred in the context menu to toggle the preferred status of these settings

To set a saved collection of image settings as preferred
  1. If the left sidebar is not displayed, toggle it by clicking on the Menu > button at the bottom left of the Viewer

  2. Click on the Image Settings button in the left sidebar to open the Image Settings panel

  3. Click on the Ellipsis button to the right of the dropdown menu at the top of the panel to display the context menu

  4. Click Manage Settings in the context menu

  5. In the Saved Settings dialog that pops up, locate the desired item and bring up the context menu

  6. Click Set as Preferred/Unset as Preferred in the context menu to toggle the preferred status of these settings

Marking a collection of settings as preferred applies for all team members if the collection is shared.

Sharing Settings With Your Team

Once saved, a collection of image settings can be shared with other users on your team. This allows multiple people to review an image with consistent adjustments applied. And when combined with the ability to apply these settings to a folder, this provides a convenient method of maintaining consistency across an entire data set.

Shared image settings can be identified by the Shared icon next to their name in both the dropdown menu and Saved Settings dialog. Additionally, the avatar of the user who saved these settings is displayed to the left of the entry in these listings. Hovering over the avatar shows you the user's name.

Only users with the "Share image settings" permission flag are able to share their private settings with their team.
To share the currently applied image settings with your team
Image settings must be saved before they can be shared.
  1. If the left sidebar is not displayed, toggle it by clicking on the Menu > button at the bottom left of the Viewer

  2. Click on the Image Settings button in the left sidebar to open the Image Settings panel

  3. Click on the Ellipsis button to the right of the dropdown menu at the top of the panel to display the context menu

  4. Click Share with Team/Unshare with Team in the context menu to toggle whether or not the current settings are shared with your team

To share a saved collection of image settings with your team
  1. If the left sidebar is not displayed, toggle it by clicking on the Menu > button at the bottom left of the Viewer

  2. Click on the Image Settings button in the left sidebar to open the Image Settings panel

  3. Click on the Ellipsis button to the right of the dropdown menu at the top of the panel to display the context menu

  4. Click Manage Settings in the context menu

  5. In the Saved Settings dialog that pops up, locate the desired item and bring up the context menu

  6. Click Share with Team/Unshare with Team in the context menu to toggle whether or not the current settings are shared with your team

To see sharing details for a collection of image settings
  1. If the left sidebar is not displayed, toggle it by clicking on the Menu > button at the bottom left of the Viewer

  2. Click on the Image Settings button in the left sidebar to open the Image Settings panel

  3. Click on the dropdown menu at the top of the panel

  4. Hover over the Shared icon next to a name to show a tooltip which includes the user who shared it and the date it was created

The share icon in the Saved Settings dialog can also be used in this way.

Histogram

A histogram provides a visual representation of the frequency of intensity values in an image. The histogram in the Viewer plots a separate line for each channel of a multi-channel image, using the same color as the pseudocolor set in the Channel List. The horizontal axis of the histogram represents the intensity values and the vertical axis represents the number of pixels of that intensity.

The histogram can be used to make images more readable to users by allowing them to adjust values such as black point, white point, brightness, and gamma for one or more channels at a time.

To change the channel group
  1. If the left sidebar is not displayed, toggle it by clicking on the Menu > button at the bottom left of the Viewer

  2. Click on the Image Settings button in the left sidebar to open the Image Settings panel

  3. Select an option from the Channel Group dropdown menu. See Channel Group for more details

The channel group determines which channels are affected by histogram adjustments, not which channels are displayed. To change the channels which are plotted in the histogram, see Channels Displayed in the Histogram Options dialog.
To see values in the histogram
  1. If the left sidebar is not displayed, toggle it by clicking on the Menu > button at the bottom left of the Viewer

  2. Click on the Image Settings button in the left sidebar to open the Image Settings panel

  3. Hover over any location in the histogram to display a crosshair with the intensity value connected to the vertical segment and the count of pixels with that value connected to the horizontal segment

    When the cursor is hovering over a line representing a channel, that channel name and color is also displayed

Clicking an image channel line in the histogram highlights the area under the plotted line with the same color.
To see the intensity range of the currently displayed histogram
  1. If the left sidebar is not displayed, toggle it by clicking on the Menu > button at the bottom left of the Viewer

  2. Click on the Image Settings button in the left sidebar to open the Image Settings panel

  3. Hover over the Info icon below the histogram to show a tooltip with the currently displayed intensity range

Histogram Options

The settings in the Histogram Options dialog are used to modify how the histogram in the Image Settings panel is rendered.

To change the histogram rendering options
  1. If the left sidebar is not displayed, toggle it by clicking on the Menu > button at the bottom left of the Viewer

  2. Click on the Image Settings button in the left sidebar to open the Image Settings panel

  3. Click on the Histogram Options button at the top right corner of the Image Settings panel to display the Histogram Options dialog

  4. Select an option from the Channels Displayed dropdown menu to change which image channels are plotted in the histogram:

    • All: all channels are plotted
    • Visible: only plot the channels which are currently visible. See Channel List for more details
    The Channels Displayed option only controls which image channels are plotted in the histogram — it does not affect which channels are modified by adjustments to the histogram. To change which channels are modified, see Channel Group in the Channel Settings dialog.
  5. Select an option from the Vertical Axis dropdown menu to change the scale used for the histogram's vertical axis: either a Linear Scale or a Logarithmic Scale

  6. Select an option from the Horizontal Axis dropdown menu to change the effective width of the histogram (i.e., the range of values for the horizontal axis):

    • 16-bit: Up to 216 (65,536) different values
    • 14-bit: Up to 214 (16,384) different values
    • 12-bit: Up to 212 (4,096) different values
    • 10-bit: Up to 210 (1,024) different values
    • 8-bit: Up to 28 (256) different values
    • Auto Range: automatically attempt to set the width to a value that fully contains the image intensity range
    A Warning icon is shown to the left of the Histogram Options button in the Image Settings panel when the intensity range of the image is greater than the range selected for the horizontal axis.
  7. Adjust the Show Gridlines toggle to show or hide a grid in the background of the histogram

  8. Click on the X button at the top right of the Histogram Options dialog to close it

All changes are saved automatically.

Channel Settings

The channel settings can be used to adjust how groups of image channels are rendered in the Viewer.

To change the channel settings
  1. If the left sidebar is not displayed, toggle it by clicking on the Menu > button at the bottom left of the Viewer

  2. Click on the Image Settings button in the left sidebar to open the Image Settings panel

  3. Click on the Channel Settings button to the right of the Channel Group dropdown menu to display the Channel Settings dialog

  4. Select the appropriate channel group

  5. Adjust the black and white points

  6. Adjust the brightness

  7. Adjust the gamma

  8. (Optional) Undo all changes you have made since opening this dialog by clicking on the Undo All button

  9. Click on the X button at the top right of the Channel Settings dialog to close it

All changes are saved automatically.
A Varies Number icon in a value field or a Varies Percent icon in a percentile field indicates that multiple image channels in the currently selected group have been adjusted independently. Hover over the icon to show a tooltip with the range of values in the channel group.

Channel Group

The channel group selection determines which image channels are affected by adjustments to the histogram. This allows multiple related channels to be manipulated at the same time, while still providing the control to make adjustments to individual channels if needed.

A Warning icon is shown to the right of the dropdown menu if any of the channels included in the channel group are not currently visible in the histogram. Click on the icon to open the Histogram Options dialog to change the Channels Displayed.
To change which image channel group is affected by adjustments to the histogram
  1. If the left sidebar is not displayed, toggle it by clicking on the Menu > button at the bottom left of the Viewer

  2. Click on the Image Settings button in the left sidebar to open the Image Settings panel

  3. Select an option from the Channel Group dropdown:

    • All: All image channels
    • Visible: Only those image channels which are visible in the Viewer. See Channel Visibility for more details on toggling the visibility of individual channels
    • Selected: Only those image channels which are currently selected in the Channel List
    • (Names): The remaining items in the dropdown menu refer to the names of image channels in the current image. All image channels which share the name are affected.
The Channel Group dropdown menu is also available in the Channel Settings dialog.

Black and White Points

You can adjust the rendered dynamic range of an image channel (or group of channels) by setting the Black Point and White Point values. These define the lowest intensity to display below which is rendered as zero (the black point) and the highest intensity to display above which is rendered as the maximum value (the white point). The remaining intensity values are scaled evenly between these two points, improving contrast.

The valid range for black and white point values is [0, (2 ^ (bits per channel) - 1)] the same range as the horizontal axis of the histogram. The number of bits per channel can be adjusted under Horizontal Axis in the Histogram Options dialog.

A percentile value sets the black or white point value to exclude the respective intensity values from the left- or right-hand side of the channel histogram. For example:

  • A 99.99% threshold for white point sets the white point to a value that eliminates 0.01% of pixels from the right-hand side of the histogram
  • A 2% threshold for black point sets the black point to a value that eliminates 2% of pixels from the left-hand side of the histogram
Changing either the value or the percentile value for these settings automatically updates the other.
To manually adjust the black and white points for the current channel group
  1. If the left sidebar is not displayed, toggle it by clicking on the Menu > button at the bottom left of the Viewer

  2. Click on the Image Settings button in the left sidebar to open the Image Settings panel

  3. Adjust the black point of the current channel group by clicking on the Arrow Up Handle/Arrow Up Handle Dashed handle to the bottom left of the histogram and dragging it to the right or left

  4. Adjust the white point of the current channel group by clicking on the Arrow Up Handle/Arrow Up Handle Dashed handle to the bottom right of the histogram and dragging it to the left or right

The dashed handle indicates that the black or white points of multiple channels in the group have been adjusted independently and have differing values.
To set the black and white points for an image channel group
  1. In the Channel Settings dialog, select the appropriate channel group

  2. Set either the Black Point and White Point values or their percentile values. Both fields accept numbers with 2 decimal points of precision (e.g., differences as small as 0.01)

  3. (Optional) Click on the Undo button to the right of the fields to undo changes you have made to the black or white points since opening the Channel Settings dialog

  4. Click on the X button at the top right of the Channel Settings dialog to close it

All changes are saved automatically.
To automatically configure the black and white points for an image channel group
  1. If the left sidebar is not displayed, toggle it by clicking on the Menu > button at the bottom left of the Viewer

  2. Click on the Image Settings button in the left sidebar to open the Image Settings panel

  3. Select the appropriate option from the Channel Group dropdown

  4. Click on the Best Fit button below the histogram. This button is also available in the Channel Settings dialog below the black and white point fields

Best Fit attempts to set the black and white points for each channel in the group individually, using available information in the following order of precedence:
  1. The minimum and maximum pixel values derived from the channel histogram
  2. The minimum and maximum pixel values suggested in the image file
  3. The minimum and maximum values supported by the pixel type of each channel
To reset the black and white points for an image channel group
  1. If the left sidebar is not displayed, toggle it by clicking on the Menu > button at the bottom left of the Viewer

  2. Click on the Image Settings button in the left sidebar to open the Image Settings panel

  3. Select the appropriate option from the Channel Group dropdown

  4. Click on the Reset button below the histogram. This button is also available in the Channel Settings dialog below the black and white point fields

The default values are determined from the following information, in order of precedence:
  1. The minimum and maximum pixel values suggested in the image file
  2. The minimum and maximum values supported by the pixel type of each channel
To set the black and white points to their respective minimum and maximum values for an image channel group
  1. If the left sidebar is not displayed, toggle it by clicking on the Menu > button at the bottom left of the Viewer

  2. Click on the Image Settings button in the left sidebar to open the Image Settings panel

  3. Select the appropriate option from the Channel Group dropdown

  4. Click on the Min/Max button below the histogram. This button is also available in the Channel Settings dialog below the black and white point fields

This sets the black and white points to the minimum and maximum values of the histogram's current horizontal axis, respectively.

Brightness

The Brightness setting allows you to adjust the brightness of an image by applying an offset to the intensity value of all the pixels of the image. A positive value increases the brightness and a negative value decreases it. This offset is applied linearly (i.e., it is applied equally to all pixels in the image).

The valid range of values for the brightness setting is [-1.0, 1.0]. This represents a linear scale from -(2 ^ (bits per channel) -1 ) to +(2 ^ (bits per channel) -1 ), with the default value being 0 (no change applied).

To set the brightness for an image channel group
  1. In the Channel Settings dialog, select the appropriate channel group

  2. Adjust the Brightness slider to the desired value; or

  3. Click on the number to the right of the slider and type the desired value directly. This field accepts numbers with 2 decimal points of precision (e.g., differences as small as 0.01)

  4. (Optional) Click on the Undo button to the right of the field to undo changes you have made to the brightness since opening the Channel Settings dialog

  5. Click on the X button at the top right of the Channel Settings dialog to close it

All changes are saved automatically.

Gamma

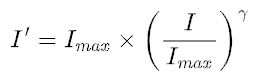
The Gamma value allows you to apply gamma correction a contrast enhancing transform that can be used to improve visualization of poorly exposed images. Unlike the brightness setting, gamma correction is a nonlinear transform that alters image intensities according to I’ = Imax (I / Imax)^gamma. Supported values are in the range of [0.1, 3.0].

Gamma Correction Formula

The gamma correction function is visualized in the histogram as a gray line or curve. If gamma values have been set independently for multiple image channels in the group currently represented in the histogram, then the two curves representing the highest and lowest values are plotted with the area between them highlighted.

To set the gamma value for an image channel group
  1. In the Channel Settings dialog, select the appropriate channel group

  2. Adjust the Gamma slider to the desired value; or

  3. Click on the number to the right of the slider and type the desired value directly. This field accepts numbers with 1 decimal point of precision (e.g., differences as small as 0.1)

  4. (Optional) Click on the Undo button to the right of the field to undo changes you have made to the gamma since opening the Channel Settings dialog

  5. Click on the X button at the top right of the Channel Settings dialog to close it

All changes are saved automatically.
To use a preset gamma value for an image channel group
  1. In the Channel Settings dialog, select the appropriate channel group

  2. Click on a button below the Gamma slider to use its preset value:

    • 0.45: The inverse of a common gamma value used by monitors (can be expressed as 1 / 2.2)
    • 1: The default value
    • 2.2: A common gamma value used by monitors
  3. (Optional) Click on the Undo button to the right of the field to undo changes you have made to the gamma since opening the Channel Settings dialog

  4. Click on the X button at the top right of the Channel Settings dialog to close it

Channel List

The channel list provides controls for toggling the visibility and color of each channel independently or in groups.

The list shows all sub-images for the current image, numbered starting at zero (0). Each sub-image may have zero or more image channels.

The context menu can also be accessed by clicking on x Channels Selected which appears to the right of Channel List.
To filter the channel list
  1. If the left sidebar is not displayed, toggle it by clicking on the Menu > button at the bottom left of the Viewer

  2. Hover or click on the Image Settings button in the left sidebar

  3. Click in the search box indicated by the Magnifying Glass icon and the text "Filter by channel name..."

  4. Type in all or part of a channel name; only the items matching this text will be displayed in the list below

Channel Visibility

The visibility of each channel for non-RGB images or sub-images can be controlled independently.

To toggle the visibility of an image channel or sub-image
  1. If the left sidebar is not displayed, toggle it by clicking on the Menu > button at the bottom left of the Viewer

  2. Hover or click on the Image Settings button in the left sidebar

  3. Hover over the channel or sub-image you wish to display or hide in the Channel List

  4. Click on the Eye/Eye Off icon to the right of the channel or sub-image name to toggle its visibility

Sub-images can be distinguished from image channels because all sub-images have the same name as the image file itself and no color assigned.
To toggle the visibility of all image channels in a sub-image
  1. If the left sidebar is not displayed, toggle it by clicking on the Menu > button at the bottom left of the Viewer

  2. Hover or click on the Image Settings button in the left sidebar

  3. Click on the sub-image name in the Channel List to bring up its context menu

  4. Click Show All Channels or Hide All Channels in the context menu

To toggle the visibility of a specific selection of image channels
  1. If the left sidebar is not displayed, toggle it by clicking on the Menu > button at the bottom left of the Viewer

  2. Hover or click on the Image Settings button in the left sidebar

  3. Select one or more image channels in the Channel List

  4. Bring up the context menu for the item (or items)

  5. Click Show Selected or Hide Selected in the context menu

To hide all image channels except a specific selection
  1. If the left sidebar is not displayed, toggle it by clicking on the Menu > button at the bottom left of the Viewer

  2. Hover or click on the Image Settings button in the left sidebar

  3. Select one or more image channels in the Channel List

  4. Bring up the context menu for the item (or items)

  5. Click Show Selected Only in the context menu

To toggle the visibility of all image channels of a certain type
  1. If the left sidebar is not displayed, toggle it by clicking on the Menu > button at the bottom left of the Viewer

  2. Hover or click on the Image Settings button in the left sidebar

  3. Bring up the context menu for a channel in the Channel List

  4. Click Show All <Name> or Hide All <Name> in the context menu

All image channels with the same name as the selected item are affected.

Image Channel Properties

Name

Each image channel has a name. These are originally set from the image metadata, but can be changed. By setting multiple channels to the same name, they can be grouped and acted upon as one.

To rename an image channel
  1. If the left sidebar is not displayed, toggle it by clicking on the Menu > button at the bottom left of the Viewer

  2. Hover or click on the Image Settings button in the left sidebar

  3. Click on the name of the channel in the Channel List

  4. Type a new name for the channel

  5. Press the Enter key or click away from the textbox to save your changes

To rename several image channels at once
  1. If the left sidebar is not displayed, toggle it by clicking on the Menu > button at the bottom left of the Viewer

  2. Hover or click on the Image Settings button in the left sidebar

  3. Select one or more image channels in the Channel List

  4. Bring up the context menu for the item (or items)

  5. Click Rename in the context menu

  6. In the Rename Channel dialog that pops up, type a new name for the channels

  7. Click on the Apply button or press the Enter key to save. To discard your changes, click on the Cancel button or press the Escape key

All of the selected channels will share the new name.

Pseudocolor

Each channel in a multi-channel image is displayed with a pseudocolor, which can be changed to any RGB value.

To change the pseudocolor of an image channel
  1. If the left sidebar is not displayed, toggle it by clicking on the Menu > button at the bottom left of the Viewer

  2. Hover or click on the Image Settings button in the left sidebar

  3. Click on the colored square next to the channel name in the Channel List to open the color palette

  4. In the Edit Color dialog that pops up, select a color using the palette

  5. Click on the X button at the top right of the dialog to close it

The new color is saved automatically. Click on the Undo Changes button to revert the change.
To change the pseudocolor of several image channels at once
  1. If the left sidebar is not displayed, toggle it by clicking on the Menu > button at the bottom left of the Viewer

  2. Hover or click on the Image Settings button in the left sidebar

  3. Select one or more image channels in the Channel List

  4. Bring up the context menu for the item (or items)

  5. Click Edit Color in the context menu

  6. In the Edit Color dialog that pops up, select a color using the palette

  7. Click on the X button at the top right of the dialog to close it

The new color is saved automatically and will apply to all of the selected channels. Click on the Undo Changes button to revert the change.

Restoring Default Settings

To reset an image channel name to its default value
  1. If the left sidebar is not displayed, toggle it by clicking on the Menu > button at the bottom left of the Viewer

  2. Hover or click on the Image Settings button in the left sidebar

  3. Locate the channel in the Channel List

  4. Click on the Undo icon to the right of the channel name

  5. Click Restore Name to Default in the context menu

To reset several image channel names
  1. If the left sidebar is not displayed, toggle it by clicking on the Menu > button at the bottom left of the Viewer

  2. Hover or click on the Image Settings button in the left sidebar

  3. Select one or more image channels in the Channel List

  4. Bring up the context menu for the item (or items)

  5. Click Restore Names to Default in the context menu

To reset the pseudocolor of an image channel to its default value
  1. If the left sidebar is not displayed, toggle it by clicking on the Menu > button at the bottom left of the Viewer

  2. Hover or click on the Image Settings button in the left sidebar

  3. Locate the channel in the Channel List

  4. Click on the Undo icon to the right of the channel name

  5. Click Restore Color to Default in the context menu

To reset the pseudocolor of several image channels
  1. If the left sidebar is not displayed, toggle it by clicking on the Menu > button at the bottom left of the Viewer

  2. Hover or click on the Image Settings button in the left sidebar

  3. Select one or more image channels in the Channel List

  4. Bring up the context menu for the item (or items)

  5. Click Restore Colors to Default in the context menu

To reset both the name and color of an image channel to their default values
  1. If the left sidebar is not displayed, toggle it by clicking on the Menu > button at the bottom left of the Viewer

  2. Hover or click on the Image Settings button in the left sidebar

  3. Locate the channel in the Channel List

  4. Click on the Undo icon to the right of the channel name

  5. Click Restore All to Default in the context menu

To reset both the name and color of several image channels to their default values
  1. If the left sidebar is not displayed, toggle it by clicking on the Menu > button at the bottom left of the Viewer

  2. Hover or click on the Image Settings button in the left sidebar

  3. Select one or more image channels in the Channel List

  4. Bring up the context menu for the item (or items)

  5. Click Restore All to Default in the context menu

Pixel Value Reporting

It is possible to enable the display of the value for all visible channels in a multispectral image. When enabled, the intensity of the pixel below the cursor is displayed for each image channel, to the right of its name, in the Channel List.

To enable or disable pixel value reporting
  1. If the left sidebar is not displayed, toggle it by clicking on the Menu > button at the bottom left of the Viewer

  2. Hover or click on the Image Settings button in the left sidebar

  3. Click on the Enable pixel value report button to the right of Channel List to enable the display of pixel values; or

  4. Click on the Disable pixel value report button to disable the feature